Skip to main content

新研究颠覆传统认知:肺功能或无“平台期”,20岁出头即走下坡路你是否认为人的肺功能在20多岁达到巅峰后,会像一个平稳的高原一样维持很多年才开始衰退?近期发表在《柳叶刀·呼吸医学》上的一项大规模研究对这一传统观念提出了挑战

  1. 新研究颠覆传统认知:肺功能或无“平台期”,20岁出头即走下坡

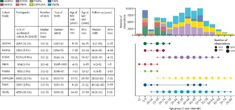
    路你是否认为人的肺功能在20多岁达到巅峰后,会像一个平稳的高原一样维持很多年才开始衰退?近期发表在《柳叶刀·呼吸医学》上的一项大规模研究对这一传统观念提出了挑战。研究结果显示,肺功能在达到峰值后几乎不存在所谓的“平台期”,而是立即开始缓慢下降。

    这项研究创新性地整合了欧洲和澳大利亚八个大型人口队列研究的数据,构建了一个覆盖4至80岁的“加速队列”,共涉及超过三万名参与者。通过精密的统计模型分析,研究团队描绘出了人一生中肺功能的完整轨迹。他们发现,肺功能在儿童期至青春期呈现两阶段增长,至13-16岁左右达到转折点。女性的肺功能(以FEV₁和FVC为指标)在20岁左右达到峰值,而男性则在23岁左右。研究还特别指出,持续性哮喘和吸烟两大因素会显著影响肺功能轨迹。持续患有哮喘的人群,其肺功能峰值出现得更早,且整个成年期的肺功能水平更低。而持续吸烟则会导致成年后肺功能的加速下降。

    这一发现具有重要的公共卫生意义。它强调了肺部健康的关口前移,即从儿童期到青年期的肺功能发育阶段至关重要,因为一生所能达到的肺功能“天花板”高度,直接决定了老年时呼吸健康的储备量。研究结果不仅为评估和监测全生命周期的肺部健康提供了全新的参考框架,也提醒我们,保护肺脏、预防慢性呼吸系统疾病,必须从年轻时就开始!

    刚到巅峰就开始下坡,这肺活量比我钱包瘪得还快。😭


    来源:The Lancet Respiratory Medicine

    #肺功能 #衰老 #健康管理

    🧬 频道🧑‍🔬 群组📨 投稿
    😨 12 💔 1