Skip to main content

Search: #阿尔茨海默病

  1. 一滴血诊断多种痴呆?AI模型突破传统诊断局限

    老年人出现记忆下降、反应变慢或行为改变时,背后可能并不只是阿尔茨海默病一种原因。帕金森相关疾病、额颞叶痴呆、ALS,甚至脑血管事件后的改变,在早期都可能表现得有些相似。也正因为如此,临床上“分清到底是哪一种病”一直很难,往往需要结合脑脊液、PET 和影像学检查,流程复杂,成本也不低。

    这篇发表于 Nature Medicine 的研究,核心不是单纯发现了某个新标志物,而是构建了一个新的深度联合学习蛋白组模型——ProtAIDe-Dx。研究团队利用血浆中的大量蛋白信息,让模型学习不同神经退行性疾病之间的差异模式,从而实现对六类与痴呆相关疾病状态的辅助鉴别。它不是只回答“是不是阿尔茨海默病”,而是会同时评估多种疾病的可能性,给出更接近真实临床场景的判断结果。

    从科普角度看,可以把它理解成一种“看血液里复杂分子指纹”的方法。过去医生更多依赖单个或少数几个指标,而这类模型试图把许多蛋白信号一起读出来,再交给人工智能综合分析,寻找更细致的疾病特征。研究的意义在于,未来神经退行性疾病的初筛和分流,也许可以先通过更方便的血液检测完成,再决定谁需要接受进一步的高成本检查。

    当然,这离日常临床普及还有距离。蛋白组学检测对样本处理、实验平台和不同人群差异都比较敏感,模型是否能在更多医院、更多国家和真实世界环境下稳定工作,还需要继续验证。但至少这项研究说明,用血浆蛋白组 + AI 做多病种痴呆相关疾病鉴别,已经开始从概念走向可测试的工具。

    人话:以前是医生看几项指标硬猜,现在是把一大堆蛋白一起丢给 AI 算命,先看看这颗脑子到底更像哪边出了问题。

    AI医生要上岗了?一滴血看六种病,未来可期!


    📖Nature Medicine
    🗓2026-03-31

    #医学研究 #神经退行性疾病 #阿尔茨海默病 #人工智能

    Via:国一打野余则成

    🧬 频道🧑‍🔬 群组📨 投稿
  2. 阿尔茨海默病新机制:一种免疫蛋白可能加速大脑“修剪”过程

    我们常听说阿尔茨海默病会导致大脑退化,其中关键之一就是神经连接的减少。科学家们发现,大脑在发育和老化过程中会通过“突触修剪”来精简神经回路,而这一过程在阿尔茨海默病患者中可能被异常激活。最近一项研究揭示了这一过程中一个新角色。

    研究指出,C4d是一种补体蛋白C4的裂解产物,它与神经元表面的LilrB2受体有极高亲和力。在阿尔茨海默病患者的脑组织中,C4d和LilrB2的共定位显著增加,且其水平随年龄增长和病情加重而上升。实验中,研究人员在小鼠模型中观察到,当C4d与LilrB2结合后,负责传递信号的树突棘数量显著减少,而如果去除LilrB2基因,这种减少就被完全阻断,表明C4d-LilrB2轴直接介导了突触修剪。

    这一发现为理解阿尔茨海默病的病理机制提供了新视角,暗示补体系统可能通过调控突触修剪参与疾病进程。不过,目前研究主要基于小鼠模型,人类大脑的复杂性和个体差异仍需更多研究来验证,未来可能为开发针对这一通路的治疗方法提供靶点。

    大脑在衰老时真的会“精简”?看来免疫系统也参与其中 🧠


    来源:Proceedings of the National Academy of Sciences of the United States of America

    #阿尔茨海默病 #突触修剪 #C4d #LilrB2 #神经退行性疾病

    via: 热心群友

    🧬 频道🧑‍🔬 群组📨 投稿
    ❤️ 5
  3. 低剂量锂盐对轻度认知障碍的初步研究:效果未达显著,安全性尚可

    随着人口老龄化,认知障碍(如阿尔茨海默病)成为社会关注焦点。有研究提出,锂元素可能对大脑健康有积极作用,但此前缺乏随机临床试验验证其在轻度认知障碍(MCI)中的效果。近日,一项发表在《JAMA神经病学》上的初步研究,首次探索了低剂量锂盐对延缓MCI患者认知衰退的作用。

    这项单中心、随机、双盲、安慰剂对照的可行性临床试验,纳入80名60岁以上的MCI患者,分为低剂量锂盐组(41人)和安慰剂组(39人),随访2年。主要结局指标包括认知测试(如加州词汇学习测试延迟回忆)、海马体积等。结果显示,锂盐组认知分数年下降0.73分,安慰剂组为1.42分,差异虽接近统计学显著性(P=0.05),但未达预设阈值。海马和皮层体积在两组均随时间下降,无显著治疗-时间交互作用。不良事件方面,锂盐组29%出现严重事件,主要是不良反应如肌酐升高、腹泻等。

    研究证实低剂量锂盐在MCI患者中安全且耐受性良好,为后续更大规模试验提供了可行性依据。然而,主要结局指标未达显著,可能因样本量较小或观察时间不足。这提示,锂盐对认知的潜在益处仍需更多研究验证,目前不能作为MCI患者的常规治疗,需谨慎看待其效果。

    锂盐效果还需再等几年?🤔


    来源:JAMA neurology

    #轻度认知障碍 #锂盐 #阿尔茨海默病 #认知衰退 #临床试验

    via: 热心群友

    🧬 频道🧑‍🔬 群组📨 投稿
    🤔 4
  4. TREM2 靶点为何失灵?——INVOKE-2 失败后的阿尔茨海默治疗反思

    阿尔茨海默病仍是最难攻克的神经退行性疾病之一。除了近年获批的抗 Aβ 抗体,科学界一直在寻找新的治疗靶点。小胶质细胞上的 TREM2 蛋白曾被寄予厚望——它在大脑免疫防御中扮演“清道夫指挥官”角色,TREM2 功能缺失与 AD 风险增加显著关联。激活 TREM2,真的能逆转认知下降吗?

    围绕 Alector 的 INVOKE-2 试验失败结果,学界近期在评论文章中重新审视 TREM2 作为 AD 靶点的前景与局限。已披露结果显示,AL002 在靶点层面可见小胶质细胞被激活,但主要临床终点未获显著改善,AD 相关液体标志物和影像指标也未见明确获益。这意味着“命中靶点”并不自动等于“改善认知”,神经免疫调控的复杂性可能远超预期。

    这类反思的价值并不在于宣判方向错误,而在于逼迫研究者重新定义问题:何时介入、介入谁、以及究竟该把小胶质细胞推向什么状态。阴性结果不是终点,而是更精确提问的起点。

    靶点打中了,病没治好——小胶质细胞说“别光激活我,先搞清楚我到底在干嘛”。🧠
    📄 Nature Medicine(评论文章)

    #阿尔茨海默 #TREM2 #小胶质细胞 #神经免疫 #临床反思

    🧬 频道🧑‍🔬 群组📨 投稿
  5. 每天 2-3 杯咖啡,痴呆风险降 18%——13 万人 43 年追踪给出答案

    "喝咖啡到底健不健康?"这个问题争论了几十年。尤其对于老年人最恐惧的痴呆症,咖啡因究竟是保护因子还是风险因子,始终缺乏足够长期、大规模的证据。

    哈佛大学团队在 JAMA 发表了迄今规模最大、随访最长的咖啡 - 痴呆关联研究。研究纳入 13.2 万名参与者(护士健康研究 + 健康专业人员随访研究),中位随访 36.8 年,期间记录了超过 1.4 万例痴呆事件。结果显示:每天饮用 2-3 杯含咖啡因咖啡的人群,痴呆风险降低 18%(HR 0.82),含咖啡因茶也有类似保护趋势。关键发现是——无咖啡因咖啡没有保护效应,提示咖啡因本身才是关键活性成分,而非咖啡中的其他抗氧化物。

    这项研究的优势在于超长随访和巨大样本量,大幅降低了反向因果的干扰(即"快要痴呆的人先减少了咖啡摄入")。但作为观察性研究,仍无法证明因果关系,且参与者以白人医护为主,种族推广性有限。不过,对于每天已经在喝咖啡的你来说——继续喝,别换无咖啡因的就对了。

    喝了 43 年咖啡的 13 万人告诉你:续命水名不虚传,但必须含咖啡因 🧠

    📄 JAMA

    #咖啡 #痴呆 #阿尔茨海默 #流行病学 #哈佛

    🧬 频道🧑‍🔬 群组📨 投稿
    ❤️ 2 🤯 2
  6. 大脑"排污系统"失灵早于斑块形成

    阿尔茨海默病为何难以早期诊断?β-淀粉样蛋白斑块形成前,大脑可能早已发出预警信号。

    瑞典卡罗林斯卡研究所用双光子显微镜实时观察小鼠大脑,发现类淋巴系统——大脑的"排污管道"——在斑块形成前就已功能障碍。研究发现,特定亚型的小胶质细胞减少导致代谢废物清除效率下降 43%,β-淀粉样蛋白提前堆积。类淋巴系统依赖动脉搏动驱动脑脊液流动,将代谢废物运出大脑。

    这项发现将阿尔茨海默病的诊断窗口大幅提前,为早期干预提供了新靶点。针对类淋巴系统或小胶质细胞的疗法,可能在认知衰退前就阻断疾病进程。不过,小鼠模型结果能否转化到人体,仍需进一步验证。

    大脑"下水道"堵了,垃圾堆成山!🗑

    来源:Brain (IF: 10.6)

    #阿尔茨海默病 #神经科学 #脑科学 #类淋巴系统

    🧬 频道🧑‍🔬 群组📨 投稿
    👍 1
  7. 一生多动脑,或让阿尔茨海默病晚来5年?研究揭示认知丰富度与痴呆风险的关系

    人老了会不会脑子越来越笨?很多人担心认知衰退,甚至害怕患上阿尔茨海默病。一项新研究为这个普遍担忧提供了新线索——一生中保持认知活跃,可能显著降低痴呆风险。研究跟踪了1939名平均79.6岁的老年人,发现认知丰富度每增加一个单位,患上阿尔茨海默病痴呆的风险就降低38%。更关键的是,认知丰富度最高的人群,其痴呆发病年龄比最低人群平均晚5年。此外,高认知丰富度还与基线时更好的认知功能以及更慢的认知衰退速度相关。即使在调整了常见的神经病理因素后,这种保护作用依然存在,表明认知丰富度可能通过提升认知韧性来延缓痴呆进程。

    研究通过构建“认知丰富度”综合指标,结合临床评估和尸检数据,深入探讨了认知活动与神经健康的关联。结果显示,认知丰富度不仅影响痴呆的发病时间,还能在死亡前维持更好的认知水平,并减缓病理因素调整后的衰退速度。这提示,认知健康并非单一基因或年龄决定的,而是长期积累的“认知投资”结果。

    研究强调,虽然结果令人鼓舞,但样本中女性占比较高,且未完全排除其他潜在影响因素,未来仍需更多研究验证这些发现,并探索认知丰富度具体如何通过神经机制发挥作用。

    老年大学还是值得报的🎓


    来源:Neurology

    #认知丰富度 #阿尔茨海默病 #认知韧性 #神经可塑性 #老年健康

    via: 热心群友

    🧬 频道🧑‍🔬 群组📨 投稿
  8. 癌症患者阿尔茨海默病风险降低?科学家揭示新机制

    阿尔茨海默病(AD)和癌症都是威胁生命的重大疾病。有趣的是,流行病学数据显示,有癌症史的患者患上AD的风险显著降低。这引发了科学家的好奇:外周癌症是否真的能影响AD的进程?一项新研究揭示了其中的奥秘。

    研究团队发现,外周癌症通过分泌一种名为胱抑素C(Cystatin-C)的蛋白质发挥作用。Cystatin-C与小胶质细胞表面的TREM2受体结合,激活这些免疫细胞。激活后的小胶质细胞能够识别并降解大脑中已有的淀粉样斑块,从而减缓AD的病理进展。这一过程在AD小鼠模型中得到了验证,且关键在于TREM2的参与。

    这一发现为AD治疗提供了新思路。传统方法多聚焦于降低淀粉样蛋白的产生,而这项研究则针对已形成的斑块进行清除,可能更直接地改善认知功能。不过,研究目前仅在动物模型中进行,是否适用于人类,以及癌症本身带来的风险,仍需更多研究来验证。

    癌症患者AD风险降低?这波操作有点反直觉🤯


    来源:Cell

    #阿尔茨海默病 #癌症 #淀粉样斑块 #TREM2 #小胶质细胞

    🧬 频道🧑‍🔬 群组📨 投稿
    🤔 8 ❤️ 2 🤷‍♂ 1
  9. 黑米中的“神秘脂肪酸”或成阿尔茨海默病新靶点?

    阿尔茨海默病(AD)是困扰中老年的神经退行性疾病,其核心病理之一是大脑中β-淀粉样蛋白斑块堆积。近年来,天然食物如黑米因富含不饱和脂肪酸而备受关注,有研究推测这类成分可能对大脑健康有益。一项新研究则揭示了黑米中的特定脂肪酸如何通过激活特定受体,直接干预AD病理过程。

    研究人员发现,黑米中的α-亚麻酸(ALA)和11,14-二十碳二烯酸(EDA)能通过“变构激活”方式激活G蛋白偶联受体120(GPR120),这一过程主要发生在与斑块相关的巨噬细胞和小胶质细胞中。这些细胞是清除β-淀粉样蛋白的关键参与者,激活GPR120后,它们能更高效地吞噬并清除这些有害斑块。研究还证实,这种作用具有细胞类型特异性——当去除巨噬细胞和小胶质细胞中的GPR120或其下游信号分子Gαi1时,ALA和EDA的疗效完全消失,而使用持续活跃的Gαi1突变体可恢复效果,进一步明确了信号通路的关键角色。

    该研究为AD的治疗提供了新的靶点思路,即通过激活特定脑内受体来增强免疫细胞清除斑块的能力。不过,目前研究基于小鼠模型,且聚焦于特定细胞类型,未来需在更多动物模型和人体实验中验证其安全性和有效性,同时探索如何将这一机制转化为临床可用的药物或饮食干预方案。此外,黑米中的其他成分也可能参与作用,因此“只靠吃黑米”可能不够,但该发现为开发靶向GPR120的AD疗法打开了新大门。

    黑米里的神秘脂肪酸,把老年痴呆的斑块当垃圾清走,以后得天天吃黑米饭防痴呆🍚


    来源:Nature aging

    #阿尔茨海默病 #黑米 #GPR120受体 #脂肪酸 #神经退行性疾病

    via: 热心群友

    🧬 频道🧑‍🔬 群组📨 投稿
    ❤️ 4
  10. 阿尔茨海默症或可更早干预?实验药物或能阻断早期损伤

    随着人口老龄化加剧,阿尔茨海默症已成为全球关注的重大健康问题。传统认知认为,该疾病在出现明显记忆衰退症状时才开始治疗,但最新研究挑战了这一观念。科学家们发现,一种名为NU-9的实验性药物,能够在症状出现前就发挥作用,靶向大脑中一种隐藏的毒性蛋白,有效阻断早期损伤并降低与疾病进展相关的炎症。这项突破性研究为阿尔茨海默症的早期干预提供了新希望。

    这项研究的核心机制在于早期干预。科学家通过在老鼠模型中提前使用NU-9,成功阻止了毒性蛋白的累积和炎症反应的升级,从而延缓了病理进程。这一发现表明,针对阿尔茨海默症的干预策略可能需要从“治疗”转向“预防”,即更早地识别并处理潜在风险因素。

    该研究的意义深远,但也需谨慎看待。虽然结果令人鼓舞,但目前仅在动物模型中得到验证,人类临床试验尚未开展。此外,研究也澄清了一个常见误解:早期干预并非否定基因或生活方式的影响,而是强调在疾病真正发作前采取主动措施的重要性。未来,如何将这一策略转化为临床应用,仍是需要攻克的难题。

    早发现早治疗,阿尔茨海默症也能“打预防针”🎯


    来源:Alzheimer's & Dementia

    #阿尔茨海默症 #早期干预 #神经退行性疾病 #药物研发

    🧬 频道🧑‍🔬 群组📨 投稿
    ❤️ 5
  11. 大脑里的“内置里程表”:新研究揭示大脑如何测量距离

    你是否有过在黑暗中穿行房间却依然能准确判断自己位置的经历?这种神奇能力源于大脑的“路径整合”机制,它能通过计算步数和转向来追踪位置,如同个人GPS。科学家们发现,理解这一过程是揭开大脑如何将短暂体验转化为长期记忆的关键一步,尤其对阿尔茨海默病早期症状(如空间定向障碍)的研究有重要意义。

    在研究中,科学家训练小鼠在无视觉地标的环境中跑特定距离以获取奖励。通过记录小鼠脑电活动,他们发现海马体中的神经元活动呈现两种模式:一类神经元在运动开始时活跃度骤升,随后随距离增加而逐渐下降;另一类则相反,在运动开始时活跃度下降,随后随距离增加而逐渐上升。这两种“斜坡式”活动模式共同构成了测量距离的神经编码,不同斜坡速度的神经元可分别追踪短距离和长距离。当研究人员干扰这些模式时,小鼠完成任务的准确性会下降。

    这一发现表明海马体使用多种策略(包括斜坡式编码)来记录时间和距离,而这类能力在阿尔茨海默病早期就可能出现退化。未来研究将深入探索这些模式如何生成,这或许能揭示记忆编码的机制及其在疾病中的受损过程。

    大脑真是个神奇的存在,连走路都自带“里程表”功能🤯


    来源:Nature Communications

    #大脑功能 #神经科学 #阿尔茨海默病 #海马体

    🧬 频道🧑‍🔬 群组📨 投稿
    ❤️ 4 🤔 2
  12. 大脑生物钟重编程:阿尔茨海默病的关键机制

    生物钟是调节我们睡眠、活动和生理功能的内在节律系统,而在阿尔茨海默病中,这种节律会被打乱。最新研究发现,大脑中的星形胶质细胞和小胶质细胞具有独特的细胞类型特异性生物钟,在阿尔茨海默病斑块或衰老过程中会发生显著改变。研究团队使用TRAP和RiboTag技术,在时间分辨率下分析了这些细胞的基因表达模式,发现阿尔茨海默病相关基因受到生物钟的强烈影响,在小胶质细胞的氧化应激和淀粉样蛋白吞噬中表现出功能性节律。

    这项研究首次揭示了不同脑细胞类型在健康和疾病状态下的生物钟差异。在阿尔茨海默病模型中,淀粉样蛋白导致大脑转录组发生"重编程",失去了自噬和溶酶体功能基因的节律性,同时获得了一些炎症基因的节律性。有趣的是,小胶质细胞在晚上表现出更强的淀粉样蛋白吞噬能力,这解释了为什么昼夜节律紊乱可能与阿尔茨海默病进展相关。

    这项发现不仅加深了我们对阿尔茨海默病病理机制的理解,也为治疗提供了新思路。研究表明,调整治疗时间以适应大脑生物钟,可能会提高治疗效果。同时,这项研究强调,在分析基因表达数据时,必须考虑一天中的采样时间,因为时间点选择会显著影响结果。

    大脑也有生物闹钟,只是阿尔茨海默病把它调成了随机模式 😵


    来源:Nature Neuroscience

    #阿尔茨海默病 #生物钟 #神经科学 #昼夜节律 #小胶质细胞

    via: 热心群友

    🧬 频道🧑‍🔬 群组📨 投稿
  13. 为何阿尔茨海默患者会最先遗忘亲人?

    对于阿尔茨海默病(AD)患者及其家庭而言,最令人心碎的症状往往不是计算能力的下降,而是逐渐无法认出至亲好友从而产生严重的社交隔阂 。科学家近期在海马体CA2区(大脑负责社交记忆的关键区域)发现了一个关键机制:一种被称为神经周围网的细胞外基质结构,起着至关重要的记忆保护作用 。

    这项发表于《Alzheimer's & Dementia》的研究发现,在AD小鼠模型中,这层包裹在神经元外的保护网早在神经元死亡之前就已经开始降解 。这种破坏是由基质金属蛋白酶过度活跃引起的,它们如同失控的剪刀,切碎了保护网,导致突触不稳定 。实验显示,若人为破坏健康小鼠的这张网,它们便会出现社交认知障碍 ;反之,若在AD早期使用药物抑制这种剪刀酶的活性,不仅能保住保护网,还能成功挽救小鼠的社交记忆 。

    这一发现不仅解释了为何社交认知衰退往往发生在AD早期,更揭示了极具潜力的治疗新方向。它提示我们,保护神经元赖以生存的微环境土壤,防止记忆的围栏被拆除,可能比单纯针对淀粉样蛋白斑块更有效 。

    来源:Alzheimer's & Dementia

    #阿尔茨海默病 #社交记忆 #神经周围网

    🧬 频道🧑‍🔬 群组📨 投稿
    😢 17 👏 4 ❤️ 2 😭 1
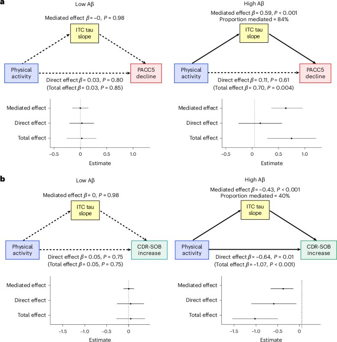
  14. 每天只需5000步!哈佛研究揭示运动如何延缓老年痴呆症

    缺乏身体活动是阿尔茨海默公认的风险因素 ,但运动究竟如何保护大脑,机制尚不明确 。近日,《自然·医学》期刊发表了哈佛大学衰老大脑研究的一项新成果 。研究证实,在已有阿尔茨海默病早期病理(淀粉样蛋白升高)的年长者中,保持较高的身体活动水平确实能延缓认知和功能的衰退 。

    这项研究追踪了296名认知健康的年长者长达14年 。团队创新地使用计步器客观测量每日步数 ,并结合纵向的Aβ(淀粉样蛋白)和tau蛋白PET脑扫描及年度认知评估 。令人惊讶的发现是,运动带来的好处与Aβ的清除无关 。真正的机制在于:更高的步数与较慢的tau蛋白积聚速率相关 。正是这种对tau蛋白的抑制,介导了运动对延缓认知衰退的保护作用 。

    那么,到底走多少步才有效?研究显示,这种保护作用在每天5,001到7,500步时达到峰值后趋于平稳 。这意味着,对于久坐的年长者来说,一个相对温和的步数目标(而非流行的1万步)就可能有效改变AD的病程 。这项发现为通过干预生活方式来减缓tau蛋白病理、推迟AD症状提供了重要支持 。

    跑1万步的理由-1,每天摸鱼遛弯的理由+1。🤪


    来源:Nature Medicine

    #阿尔茨海默病 #运动 #健康管理

    🧬 频道🧑‍🔬 群组📨 投稿
    ❤️ 8 🤗 3
  15. 阿尔茨海默病“脑肠轴”新发现:致病蛋白可从大脑“旅行”至肠道

    近期,首尔大学Inhee Mook-Jung教授团队在《Gut》期刊发表研究,揭示了阿尔茨海默病(AD)的一条全新病理传播路径。 研究证实,AD大脑中的标志性致病蛋白Tau,可以沿着连接大脑和内脏的迷走神经,从大脑传播至结肠的神经丛中。

    该团队在AD小鼠模型中发现,通过手术切断迷走神经,可以有效阻断Tau蛋白的这种传播。 此外,他们还利用人体细胞构建了创新的“结肠芯片”模型,在体外成功复现了这一过程,并观察到Tau蛋白的累积会损害肠道上皮屏障的完整性。

    这项研究为AD患者为何常伴有肠道功能紊乱提供了强有力的解释,证明了大脑病理可以直接影响外周器官,为未来的治疗提供了新靶点。

    肠道:我承受了这个年纪不该承受的“脑”负担。


    来源:Gut

    #阿尔茨海默病 #Tau蛋白 #脑肠轴

    🧬 频道🧑‍🔬 群组📨 投稿
    ❤️ 2
  16. 缺锂或许是老年痴呆“元凶”?《自然》揭示颠覆性致病机制

    阿尔茨海默病(俗称老年痴呆)的早期诱因一直是医学界的巨大谜团。近日,一项发表于《自然》期刊的重磅研究首次揭示,人体内一种微量元素 —— 锂(Li)的缺失,可能是启动这一退行性疾病的关键“开关”。

    研究人员分析发现,在出现轻度认知障碍(MCI,AD 的前兆)的患者大脑中,锂是唯一显著减少的金属元素。进一步研究表明,随着 β- 淀粉样蛋白斑块的形成,大脑中本已不足的锂会被其大量“扣押”,导致生物可利用的锂进一步枯竭,形成恶性循环

    在小鼠模型中,人为降低饮食中的锂含量,足以加速 AD 的全套病理变化:β- 淀粉样蛋白和磷酸化 tau 蛋白沉积加剧、神经炎症、突触与髓鞘丢失以及记忆力衰退。更具突破性的是,研究团队发现使用一种不易被淀粉样蛋白“扣押”的特殊锂盐 —— 乳清酸锂(lithium orotate)进行补充治疗,能有效预防和逆转小鼠的病理变化和记忆丧失。这项发现将锂稳态失衡确立为 AD 早期核心致病环节,为该病的预防和治疗开辟了全新的道路。

    以前只知道手机需要锂电池,现在看来,大脑可能也需要。
    Nature
    #阿尔茨海默病 #锂 #神经科学
    🤯 5 ❤️ 2